अतिथि शिक्षकों का मानदेय भुगतान आदेश जारी| अतिथि शिक्षकों की सैलरी का आदेश जारी|2024-25gfms salary
नमस्कार दोस्तों guest teacher news.com पर आपका स्वागत है यदि आप अतिथि शिक्षक से संबंधित कोई भी जानकारी चाहते हैं तो आप हमारी वेबसाइट पर visit कर सकते हैं
⇒नए साल2025 को लेकर अतिथि शिक्षकों के लिए खुशखबरी आ चुकी है
⇒अतिथि शिक्षकों का मानदेय भुगतान आदेश जारी|अतिथि शिक्षकों की सैलरी का आदेश जारी
- आज अतिथि शिक्षकों का मानदेय भुगतान का आदेश जारी हो चुका है|
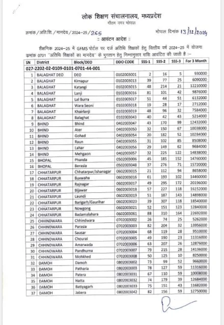
- जिसमें शैक्षणिक satra 24-25 के लिए योजना क्रमांक 0701 अतिथि शिक्षकों का मानदेय भुगतान जारी कर दिया गया है इसके लिए राशि जारी कर दी गई है सभी जिलों के लिए
- यह आवंटन शिक्षण सत्र 24-25 में gfms पोर्टल पर दर्ज अतिथि शिक्षकों के मानदेय भुगतान हेतु नवंबर 2024 से जनवरी 2025 तक जारी कर दिया है|
👉👉आज लोक शिक्षण संचनालय के द्वारा एक आदेश जारी किया गया है जिसमें सभी शिक्षकों को एक सप्ताह के अंदर करने का भुगतान हो जाएगा|
नीचे सभी जिलों की आवंटन राशि को आप देख सकते हैं👇👇
⇒अतिथि शिक्षक संबंधित यह जानकारी भी देखें👉👉
** thank you**
WhatsApp Group
Join Now
Telegram Group
Join Now

0 टिप्पणियाँ